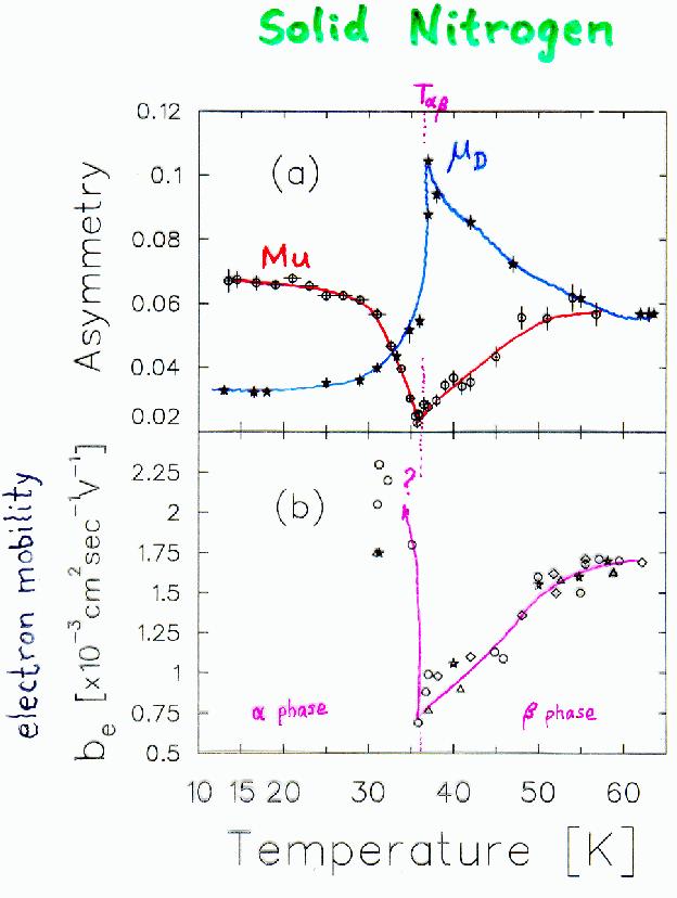
T-dep of Mu and Dia Asymm in s-N2 vs. Electron Mobility




Author: JHB.     Figure created ~ 1992.     See TRIUMF Expt 599.    
Prepared by Jess H. Brewer
Last modified: Sat Nov 29